Ahmed Helali

Math & Tech Enthusiast

Exploring the Beauty of Math and Tech—from Full Stack Development to Machine Learning and Knot Theory, while creating innovative solutions and sharing my passion for teaching along the way.

In 2011, I chose to pursue Computer Science over Astronomy, guided by practical advice. Since then, I've earned degrees in Computer Science and Applied Mathematics, and I'm currently pursuing a Master's in Mathematics at TUM.

While I enjoyed the technical aspects of my Computer Science journey, I found myself drawn to the abstract beauty of Mathematics. Now, I balance both fields, applying my knowledge in various projects.

Currently, I am focused on:

  • Full Stack Development: Diving back into the game with Tailwind, React.js, Next.js and Node.js —catching up with the latest trends after a bit of time away.
  • Probability and Statitics: My arch-nemesis! I'm now working on understanding this branch of Mathematics better, especially considering how importance it is in a variety of applications.
  • Machine Learning: Getting hands-on by coding my own neural network to recognize handwritten digits—it's a fun challenge!
  • Knots and Graphs: Revamping my internship project that manipulates knots and graphs—looking to make it more robust and useful on a wider range.
  • Teaching: Passionate about teaching, I'm working on creating educational content and courses.

12/2023 - 06/2024

Data Analyst · CCM

Automated data processes and analyzed data to inform business decisions using Python, VBA, and Excel (functions, pivot tables, visualizations).

Python

Excel

VBA

10/2022 - 02/2024

Teaching Assistant · HS Mittweida

Weekly sessions guiding independent problem-solving for university students.

Real Analysis

Complex Analysis

Linear Algebra

06/2019 - 06/2020

Database Administrator · Army Service

Managed and optimized databases for seamless data operations.

C#

SQL

.NET

Excel

03/2018 - 03/2019

Freelance WordPress Developer · Notion Pharma

Developed E-learning websites, designed pages, created apps, managed course administration, and analyzed user data for improvements.

Wordpress

PHP

HTML

CSS

SQL

Excel

05/2017 - 11/2017

Research Assistant · Fraunhofer IGD

Contributed to the development of a re-configurable Worker-Robot Collaboration sys- tem with integrated gesture recognition and sensor technology.

Python

JAVA

ROS

05/2016 - 08/2016

Full Stack Developer · qpix web

Developed E-Commerce websites, specializing in search feature design for 5+ sites.

PHP

JavaScript

HTML

CSS

View Full Résumé

Mock Google Homepage

Mock Google Homepage

I created the homepage for Google, albeit with some obvious differences. I followed this video in by James.

635

HTML

CSS

Ahmed Helali's Portifolio

Portifolio Webpage

Well you are kinda looking at it right now
Also from the same video above. The title for this card will take you to the webpage hosted by Netlify.

635

JavaScript

HTML

CSS

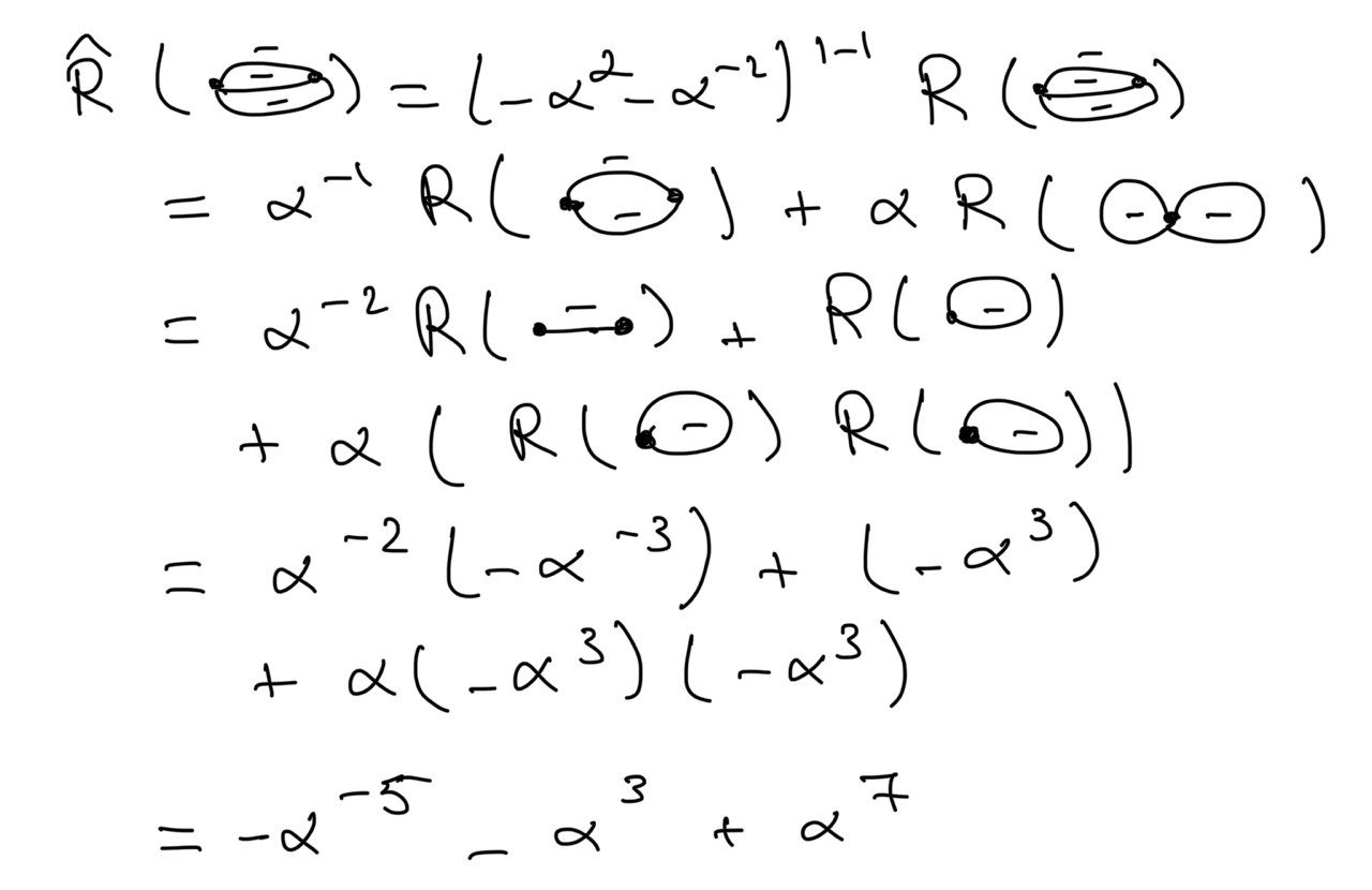
Star Knot with its Signed Planar Graphs

Reidemeister Moves on Alternating Knots and their Signed Planar Graphs

During my internship, I built a Python program to handle Reidemeister moves on alternating knot diagrams using libraries like “NetworkX” and “pyknotid.” The program works but has limitations, such as issues with loops, parallel edges, and a 10-crossing cap. Future work includes refining the algorithm, testing more diagrams, and using an object-oriented approach to overcome these challenges.

635

Python

Knot Theory

Graph Theory

A Neural network with two layers.

Multiayer Precpton that recognises Handwritten Digits

With the release of ChatGPT, I developed a strong interest in Machine Learning and AI. This project is my take on building the classic 'Hello World!' of neural networks, inspired by Michael Nielsen's book.

635

Python

ML

View Full Projects Archive

A Review of Reidemeister Moves on Alternating Knots and Signed Planar Graphs

In my thesis, I explored the connection between knot theory and graph theory. I focused on the equivalence between knots and signed planar graphs, Reidemeister moves, and the development of the Jones Polynomial through the rank polynomial and Kauffman bracket. I demonstrated that the Jones Polynomial is invariant under Reidemeister moves for both knots and graphs, with a working example on the right-handed trefoil.

Published on: 16/05/2024

Knot Theory

Graph Theory